Справка документа
Источник публикации
"Собрание законодательства Ивановской области", 31.07.2009, N 28(448)
Статус документа
Утратил силу
Утратил силу в связи с изданием следующего документа:
Постановление Правительства Ивановской области от 10.06.2019 N 210-п
Изменяется следующими документами:
Постановление Правительства Ивановской области от 22.06.2011 N 212-п
Постановление Правительства Ивановской области от 23.10.2009 N 301-п
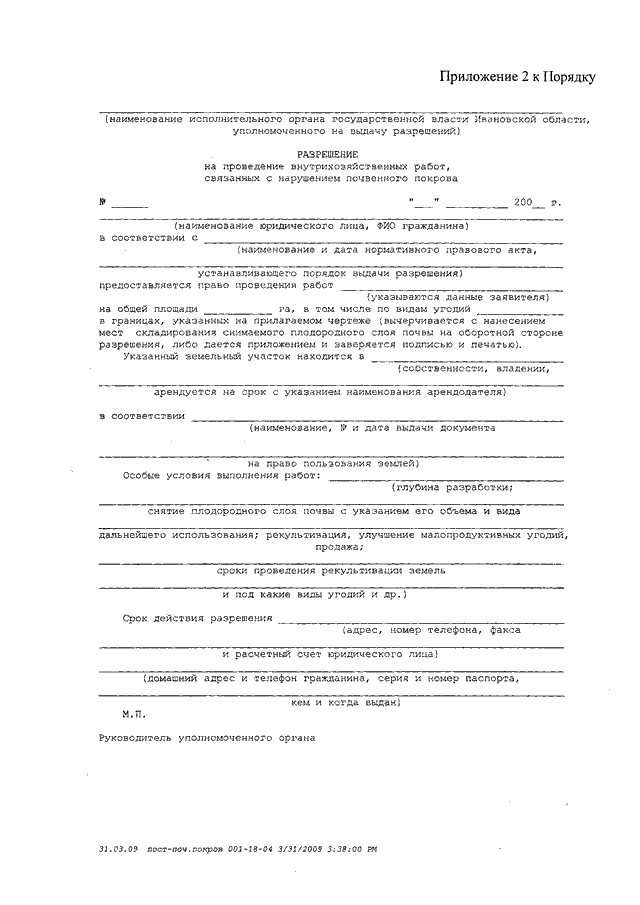
Постановление Правительства Ивановской области от 23.07.2009 N 211-п "О выдаче разрешений на проведение внутрихозяйственных работ, связанных с нарушением почвенного покрова" (вместе с "Порядком выдачи разрешений на проведение внутрихозяйственных работ, связанных с нарушением почвенного покрова")
Скачать:
PDF (261 Кб)
Страница 5 из 5