Справка документа
Источник публикации
Документ опубликован не был
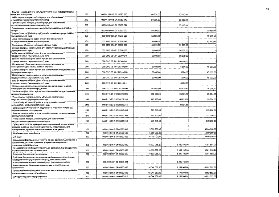
Распоряжение Правительства Ивановской области от 26.07.2017 N 144-рп "Об утверждении отчета об исполнении областного бюджета за I полугодие 2017 года"
Скачать:
PDF (9 Мб)
Страница 40 из 123