правительство ивановской области
Официальный сайт
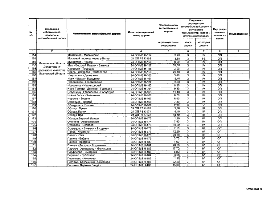
Распоряжение Правительства Ивановской области от 02.07.2008 N 222-рп "Об утверждении перечня автомобильных дорог общего пользования регионального или межмуниципального значения Ивановской области"
Показать:
Скачать: PDF (657 Кб)
Страница 7 из 12