Справка документа
Источник публикации
Официальный сайт Правительства Ивановской области http://www.ivanovoobl.ru, 20.05.2015,
Официальный интернет-портал правовой информации http://www.pravo.gov.ru, 26.05.2015
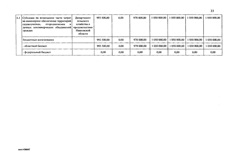
Постановление Правительства Ивановской области от 20.05.2015 N 191-п "О внесении изменений в постановление Правительства Ивановской области от 13.11.2013 N 451-п "Об утверждении государственной программы Ивановской области "Развитие сельского хозяйства и регулирование рынков сельскохозяйственной продукции, сырья и продовольствия Ивановской области"
Скачать:
PDF (1 Мб)
Страница 33 из 33