Справка документа
Источник публикации
Официальный сайт Правительства Ивановской области http://www.ivanovoobl.ru, 20.05.2015,
Официальный интернет-портал правовой информации http://www.pravo.gov.ru, 28.05.2015
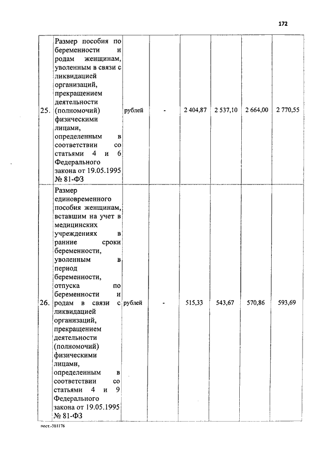
Постановление Правительства Ивановской области от 20.05.2015 N 190-п "О внесении изменения в постановление Правительства Ивановской области от 15.10.2013 N 393-п "Об утверждении государственной программы Ивановской области "Социальная поддержка граждан в Ивановской области"
Скачать:
PDF (17 Мб)
Страница 172 из 321