Справка документа
Источник публикации
"Собрание законодательства Ивановской области", 18.02.2014, N 6(675)
Статус документа
Утратил силу
Утратил силу в связи с изданием следующего документа:
Постановление Правительства Ивановской области от 06.12.2017 N 460-п
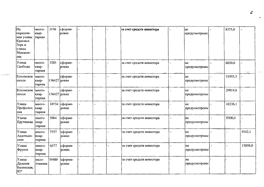
Постановление Правительства Ивановской области от 10.02.2014 N 32-п "О внесении изменений в постановление Правительства Ивановской области от 13.11.2013 N 458-п "Об утверждении государственной программы Ивановской области "Обеспечение доступным и комфортным жильем, объектами инженерной инфраструктуры и услугами жилищно-коммунального хозяйства населения Ивановской области" (вместе с "Адресным перечнем земельных участков для жилищного строительства, планами мероприятий по обеспечению их инженерной, транспортной и социальной инфраструктурой, механизмами, источниками финансирования и сроками исполнения этих мероприятий")
Скачать:
PDF (2 Мб)
Страница 38 из 49