правительство ивановской области
Официальный сайт
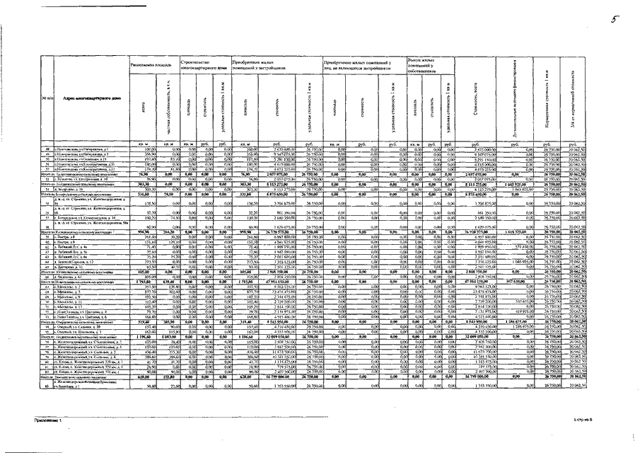
Постановление Правительства Ивановской области от 15.04.2013 N 134-п "Об утверждении региональной адресной программы "Переселение граждан из аварийного жилищного фонда на территории Ивановской области на 2013 - 2015 годы"
Показать:
Скачать: PDF (3 Мб)
Страница 27 из 32