Справка документа
Источник публикации
Официальный интернет-портал правовой информации http://pravo.gov.ru, 20.03.2026
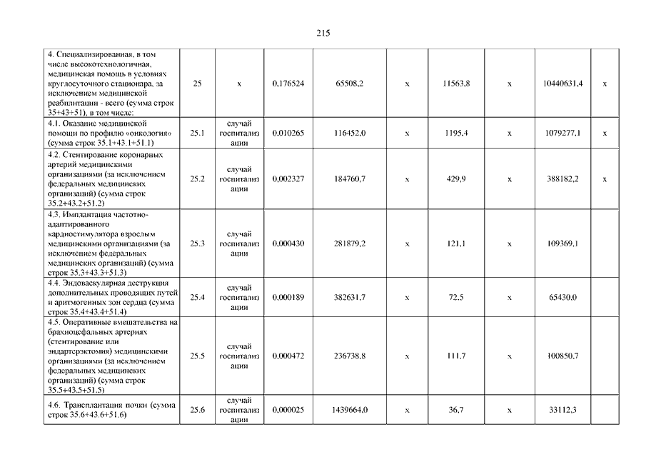
Постановление Правительства Ивановской области от 19.03.2026 N 90-п "Об утверждении Территориальной программы государственных гарантий бесплатного оказания гражданам медицинской помощи на территории Ивановской области на 2026 год и на плановый период 2027 и 2028 годов"
Скачать:
PDF (12 Мб)
Страница 215 из 255