Справка документа
Источник публикации
Официальный интернет-портал правовой информации http://pravo.gov.ru, 19.02.2026
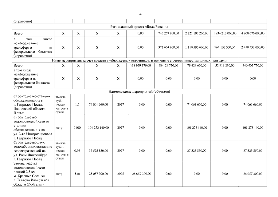
Постановление Правительства Ивановской области от 19.02.2026 N 54-п "О внесении изменений в постановление Правительства Ивановской области от 06.12.2017 N 458-п "Об утверждении государственной программы Ивановской области "Обеспечение услугами жилищно-коммунального хозяйства населения Ивановской области" (вместе с "Перечнем объектов и мероприятий, реализуемых в рамках государственной программы Ивановской области, с привлечением средств федерального бюджета")
Скачать:
PDF (406 Кб)
Страница 4 из 13