Справка документа
Источник публикации
Официальный интернет-портал правовой информации http://pravo.gov.ru, 04.02.2026
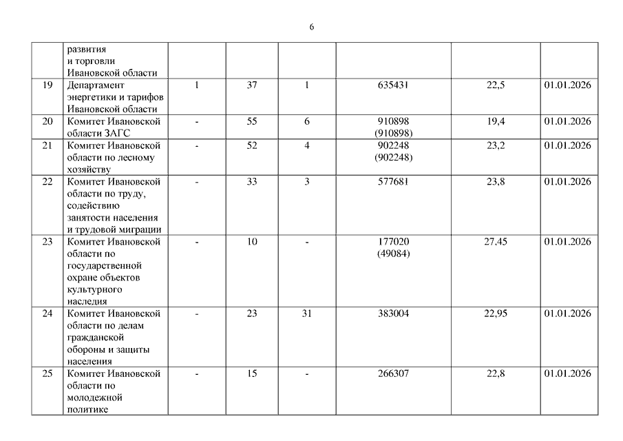
Указ Губернатора Ивановской области от 02.02.2026 N 7-уг "О внесении изменений в указ Губернатора Ивановской области от 18.12.2012 N 241-уг "О предельной численности, фонде оплаты труда и ежемесячном денежном поощрении государственных гражданских служащих Ивановской области"
Скачать:
PDF (252 Кб)
Страница 6 из 9