Справка документа
Источник публикации
Официальный интернет-портал правовой информации http://pravo.gov.ru, 12.12.2025
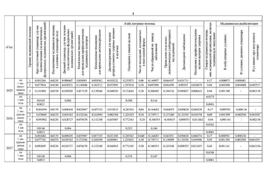
Постановление Правительства Ивановской области от 11.12.2025 N 507-п "О внесении изменений в постановление Правительства Ивановской области от 14.02.2025 N 54-п "Об утверждении Территориальной программы государственных гарантий бесплатного оказания гражданам медицинской помощи на территории Ивановской области на 2025 год и на плановый период 2026 и 2027 годов"
Скачать:
PDF (2 Мб)
Страница 4 из 67