Справка документа
Источник публикации
Официальный интернет-портал правовой информации http://pravo.gov.ru, 17.10.2025
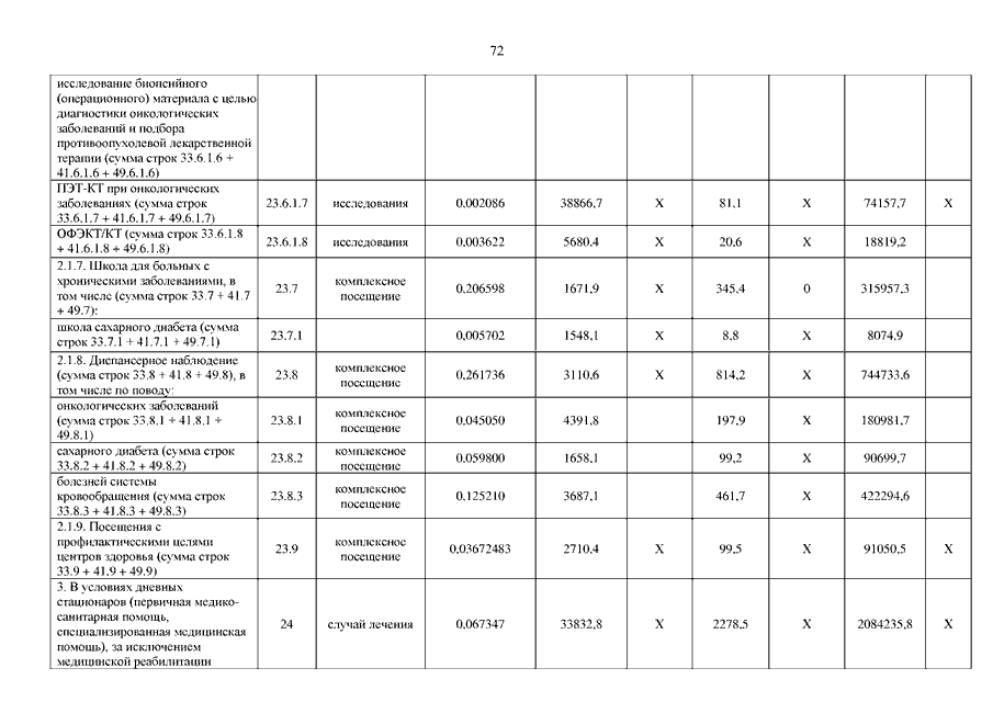
Постановление Правительства Ивановской области от 15.10.2025 N 410-п "О внесении изменений в постановление Правительства Ивановской области от 14.02.2025 N 54-п "Об утверждении Территориальной программы государственных гарантий бесплатного оказания гражданам медицинской помощи на территории Ивановской области на 2025 год и на плановый период 2026 и 2027 годов" (вместе с "Перечнем медицинских организаций, подведомственных Департаменту здравоохранения Ивановской области, уполномоченных проводить врачебные комиссии в целях принятия решений о назначении незарегистрированных лекарственных препаратов")
Скачать:
PDF (3 Мб)
Страница 72 из 89