Справка документа
Источник публикации
Официальный интернет-портал правовой информации http://pravo.gov.ru, 25.08.2025
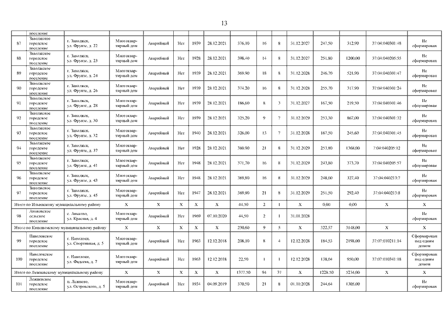
Постановление Правительства Ивановской области от 22.08.2025 N 335-п "О внесении изменений в постановление Правительства Ивановской области от 03.06.2024 N 232-п "Об утверждении региональной адресной программы "Переселение граждан из аварийного жилищного фонда на территории Ивановской области на 2024 - 2030 годы" (вместе с "Реестром жилищного фонда (многоквартирные дома, дома блокированной застройки, объекты индивидуального жилищного строительства)", "Планом реализации мероприятий по переселению граждан из аварийного жилищного фонда по способам переселения", "Планом мероприятий по переселению граждан из аварийного жилищного фонда")
Скачать:
PDF (934 Кб)
Страница 13 из 21