Справка документа
Источник публикации
Официальный интернет-портал правовой информации http://pravo.gov.ru, 27.12.2024
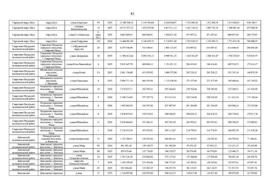
Постановление Правительства Ивановской области от 26.12.2024 N 667-п "О внесении изменения в постановление Правительства Ивановской области от 25.03.2024 N 106-п "Об утверждении краткосрочного плана реализации региональной программы капитального ремонта общего имущества в многоквартирных домах, расположенных на территории Ивановской области, на 2024 - 2026 годы"
Скачать:
PDF (5 Мб)
Страница 81 из 88