Справка документа
Источник публикации
Официальный интернет-портал правовой информации http://pravo.gov.ru, 31.10.2024
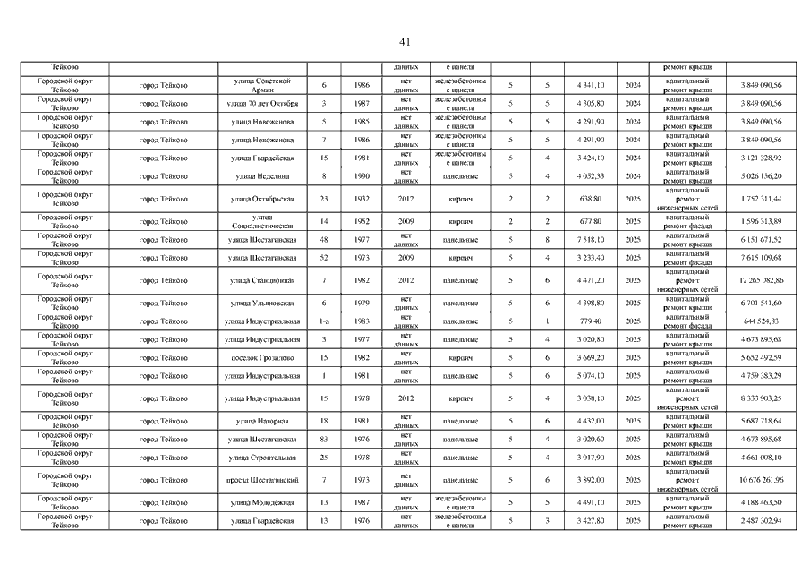
Постановление Правительства Ивановской области от 29.10.2024 N 522-п "О внесении изменения в постановление Правительства Ивановской области от 25.03.2024 N 106-п "Об утверждении краткосрочного плана реализации региональной программы капитального ремонта общего имущества в многоквартирных домах, расположенных на территории Ивановской области, на 2024 - 2026 годы"
Скачать:
PDF (6 Мб)
Страница 41 из 90