Справка документа
Источник публикации
Официальный интернет-портал правовой информации http://pravo.gov.ru, 16.08.2024
Статус документа
Утратил силу
Утратил силу в связи с изданием следующего документа:
Постановление Правительства Ивановской области от 22.10.2025 N 423-п
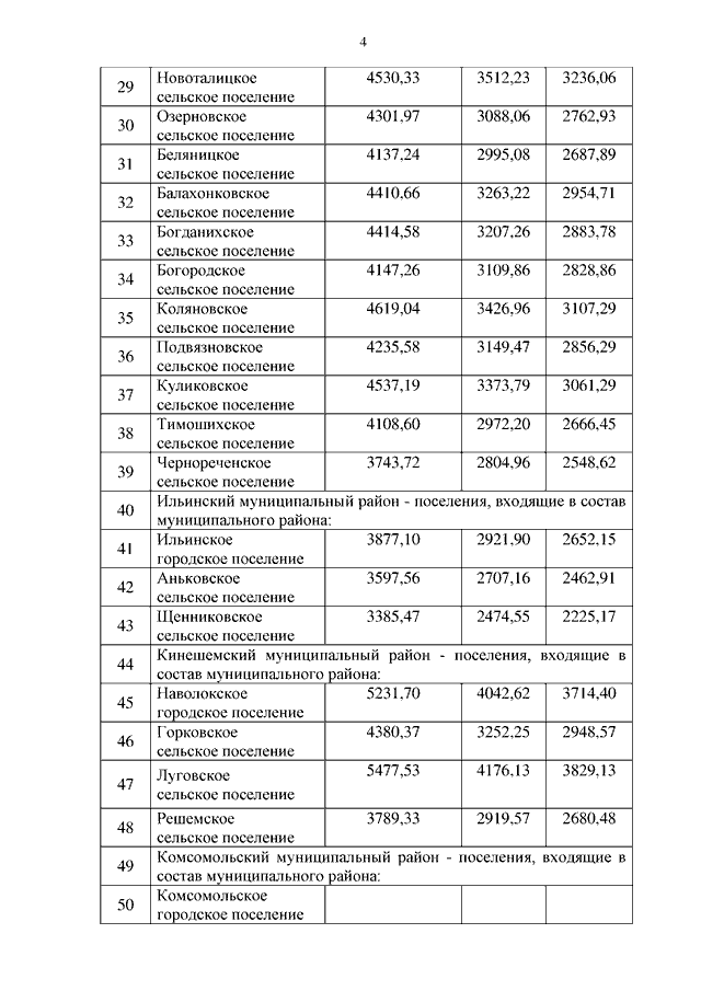
Постановление Правительства Ивановской области от 15.08.2024 N 359-п "Об установлении размеров региональных стандартов стоимости жилищно-коммунальных услуг"
Скачать:
PDF (1 Мб)
Страница 4 из 34