Справка документа
Источник публикации
Официальный интернет-портал правовой информации http://pravo.gov.ru, 09.07.2024
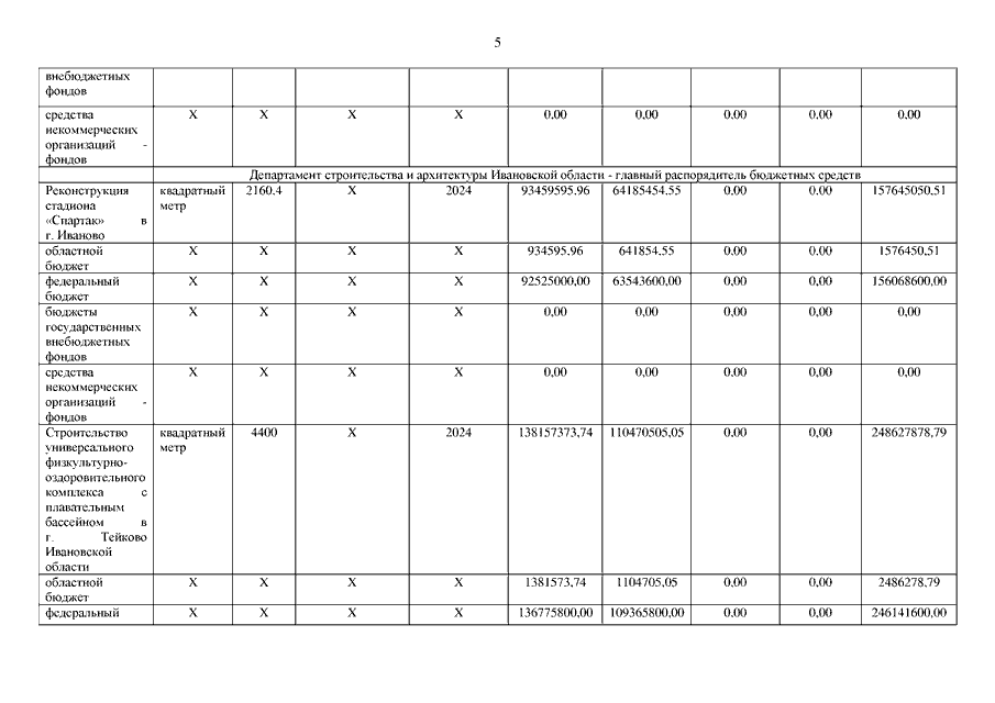
Постановление Правительства Ивановской области от 08.07.2024 N 285-п "О внесении изменений в постановление Правительства Ивановской области от 18.02.2016 N 43-п "Об утверждении государственной программы Ивановской области "Развитие физической культуры и спорта в Ивановской области" (вместе с "Перечнем объектов капитального строительства, мероприятий, реализуемых в рамках государственной программы Ивановской области", "Порядком предоставления и распределения субсидий бюджетам муниципальных образований Ивановской области на закупку комплектов спортивно-технологического оборудования для создания открытых хоккейных площадок")
Скачать:
PDF (884 Кб)
Страница 5 из 19