Справка документа
Источник публикации
Официальный интернет-портал правовой информации http://pravo.gov.ru, 14.03.2024
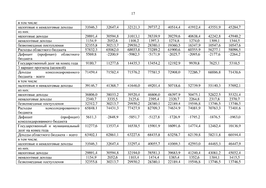
Постановление Правительства Ивановской области от 14.03.2024 N 94-п "О внесении изменений в постановление Правительства Ивановской области от 16.03.2023 N 134-п "Об утверждении бюджетного прогноза Ивановской области на 2023 - 2035 годы"
Скачать:
PDF (831 Кб)
Страница 17 из 24