Справка документа
Источник публикации
Официальный интернет-портал правовой информации http://pravo.gov.ru, 02.02.2024
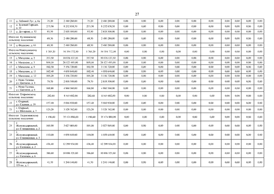
Постановление Правительства Ивановской области от 01.02.2024 N 24-п "О внесении изменений в постановление Правительства Ивановской области от 15.04.2013 N 134-п "Об утверждении региональной адресной программы "Переселение граждан из аварийного жилищного фонда на территории Ивановской области на 2013 - 2018 годы" (вместе с "Перечнем аварийных многоквартирных домов, из которых граждане подлежат переселению в многоквартирные дома, в том числе отнесенные к домам малоэтажной застройки", "Реестром аварийных многоквартирных домов по способам переселения, из которых граждане подлежат переселению в многоквартирные дома, в том числе отнесенные к домам малоэтажной застройки")
Скачать:
PDF (2 Мб)
Страница 27 из 40