Справка документа
Источник публикации
Официальный интернет-портал правовой информации http://pravo.gov.ru, 22.12.2023
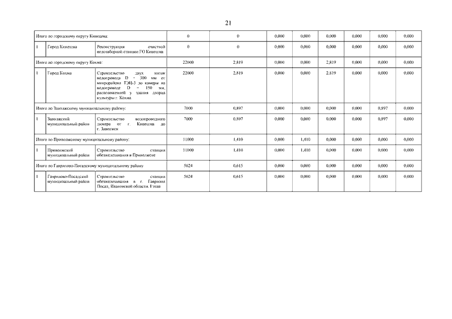
Постановление Правительства Ивановской области от 22.12.2023 N 645-п "О внесении изменения в постановление Правительства Ивановской области от 06.12.2017 N 458-п "Об утверждении государственной программы Ивановской области "Обеспечение услугами жилищно-коммунального хозяйства населения Ивановской области" (вместе с "Государственной программой Ивановской области "Обеспечение услугами жилищно-коммунального хозяйства населения Ивановской области" (далее - Государственная программа)")
Скачать:
PDF (6 Мб)
Страница 21 из 119