Справка документа
Источник публикации
Документ опубликован не был
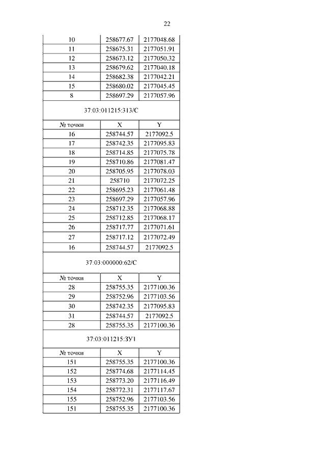
Распоряжение Правительства Ивановской области от 15.09.2023 N 151-рп "Об утверждении документации по планировке территории (проект планировки территории с проектом межевания территории в его составе), предусматривающей размещение линейного объекта - "Газопровод межпоселковый от газопровода на д. Урусобино Гаврилово-Посадского района до д. Бушариха - с. Зернилово Тейковского района Ивановской области"
Скачать:
PDF (970 Кб)
Страница 18 из 25