Справка документа
Источник публикации
Официальный интернет-портал правовой информации http://pravo.gov.ru, 08.08.2023
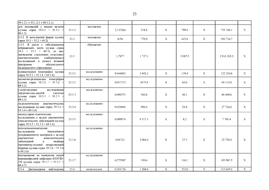
Постановление Правительства Ивановской области от 07.08.2023 N 354-п "О внесении изменений в постановление Правительства Ивановской области от 30.01.2023 N 24-п "Об утверждении Территориальной программы государственных гарантий бесплатного оказания гражданам медицинской помощи на территории Ивановской области на 2023 год и на плановый период 2024 и 2025 годов" (вместе с "Перечнем медицинских организаций, осуществляющих деятельность по медицинской реабилитации")
Скачать:
PDF (2 Мб)
Страница 23 из 36