Справка документа
Источник публикации
Документ опубликован не был
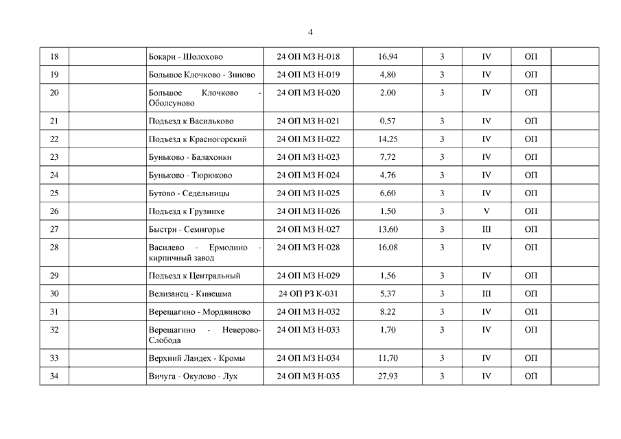
Распоряжение Правительства Ивановской области от 27.04.2023 N 67-рп "О внесении изменения в распоряжение Правительства Ивановской области от 02.07.2008 N 222-рп "Об утверждении перечня автомобильных дорог общего пользования регионального или межмуниципального значения Ивановской области"
Скачать:
PDF (736 Кб)
Страница 4 из 28