Справка документа
Источник публикации
Официальный интернет-портал правовой информации http://pravo.gov.ru, 02.02.2023
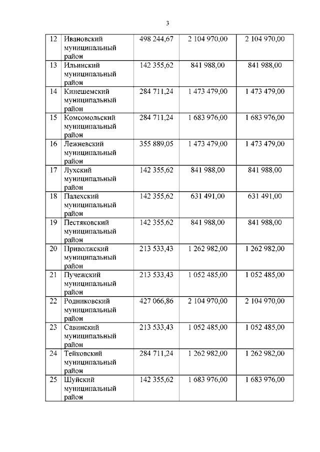
Постановление Правительства Ивановской области от 01.02.2023 N 27-п "Об утверждении распределения иных межбюджетных трансфертов бюджетам муниципальных районов и городских округов Ивановской области на проведение мероприятий по обеспечению деятельности советников директора по воспитанию и взаимодействию с детскими общественными объединениями в муниципальных общеобразовательных организациях на 2023 - 2025 годы"
Скачать:
PDF (112 Кб)
Страница 3 из 4