Справка документа
Источник публикации
Официальный сайт Правительства Ивановской области http://www.ivanovoobl.ru, 25.11.2022,
Официальный интернет-портал правовой информации http://pravo.gov.ru, 30.11.2022
Изменяется следующим документом:
Постановление Правительства Ивановской области от 20.12.2022 N 784-п
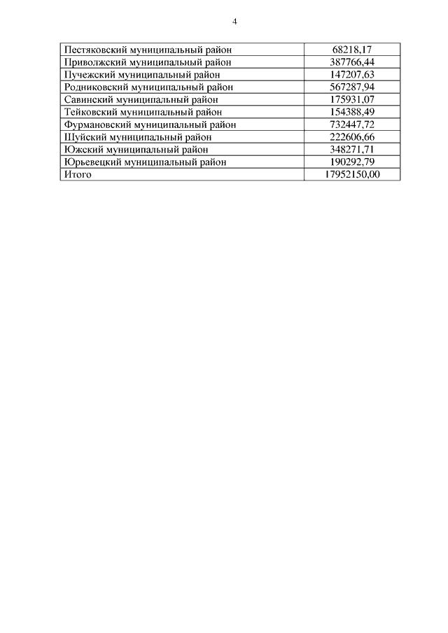
Постановление Правительства Ивановской области от 24.11.2022 N 689-п "Об утверждении распределения субвенций бюджетам муниципальных районов и городских округов Ивановской области на осуществление переданных органам местного самоуправления государственных полномочий Ивановской области по предоставлению бесплатного горячего питания обучающимся, получающим основное общее и среднее общее образование в муниципальных образовательных организациях, из числа детей граждан, принимающих участие (принимавших участие, в том числе погибших (умерших)) в специальной военной операции, проводимой с 24 февраля 2022 года, из числа военнослужащих и сотрудников федеральных органов исполнительной власти и федеральных государственных органов, в которых федеральным законом предусмотрена военная служба, сотрудников органов внутренних дел Российской Федерации, граждан Российской Федерации, заключивших контракт о добровольном содействии в выполнении задач, возложенных на Вооруженные Силы Российской Федерации, сотрудников уголовно-исполнительной системы Российской Федерации, выполняющих (выполнявших) возложенные на них задачи в период проведения специальной военной операции, а также граждан, призванных на военную службу по мобилизации в Вооруженные Силы Российской Федерации, на 2022 год"
Скачать:
PDF (171 Кб)
Страница 4 из 4