Справка документа
Источник публикации
Официальный интернет-портал правовой информации http://pravo.gov.ru, 21.11.2022
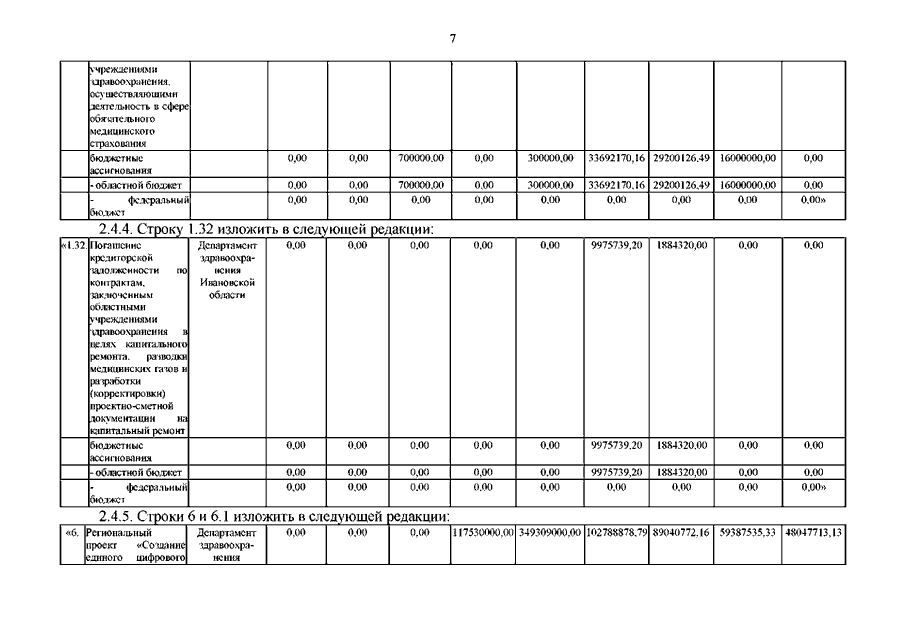
Постановление Правительства Ивановской области от 17.11.2022 N 639-п "О внесении изменений в постановление Правительства Ивановской области от 13.11.2013 N 449-п "Об утверждении государственной программы Ивановской области "Развитие здравоохранения Ивановской области"
Скачать:
PDF (758 Кб)
Страница 7 из 24