Справка документа
Источник публикации
Официальный интернет-портал правовой информации http://pravo.gov.ru, 07.11.2022
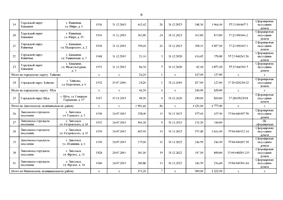
Постановление Правительства Ивановской области от 03.11.2022 N 616-п "О внесении изменений в постановление Правительства Ивановской области от 09.04.2019 N 131-п "Об утверждении региональной адресной программы "Переселение граждан из аварийного жилищного фонда на территории Ивановской области на 2019 - 2023 годы" (вместе с "Перечнем многоквартирных домов, признанных аварийными до 1 января 2017 года", "Планом реализации мероприятий по переселению граждан из аварийного жилищного фонда, признанного таковым до 1 января 2017 года, по способам переселения")
Скачать:
PDF (650 Кб)
Страница 6 из 19